2020年 京都大学 文系数学

<解説>
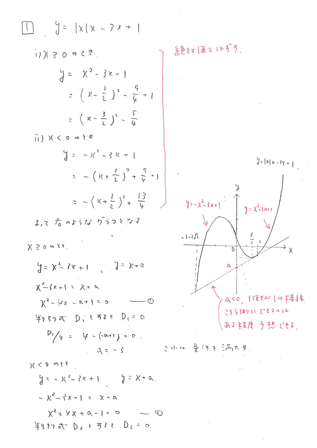
絶対値を含む関数の問題です。絶対値を外す際の場合分けとグラフの概形を描くことができれば、あとは積分を利用して面積を求めるという標準的な問題です。煩雑な計算もありますが、完答を目指したい問題です。
<解答>



<解説>
絶対値を含む関数の問題です。絶対値を外す際の場合分けとグラフの概形を描くことができれば、あとは積分を利用して面積を求めるという標準的な問題です。煩雑な計算もありますが、完答を目指したい問題です。