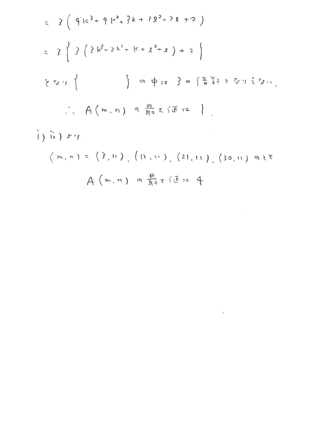
2020年 京都大学 理系数学 第1問/ 第2問/ 第3問/第4問/ 第5問/ 第6問 <解説> 京都大では恒例の整数問題です。例年は条件がシンプルで何から手を付けようかと悩まされる問題が多いのに対して、今回は条件が多くてどうしたらいいか別の意味で悩まされる問題です。 「3で割り切れない」というキーワードがあるので、mとnの条件設定を ・3で割り切れる ・3で割って1余る ・3で割って2余るにすることで、解答作成を進めていきます。その他の条件に合致するように全て検証する必要があります。 <解答> 入試解答ページTOPへ HOME | 2020京都大理系数学4